
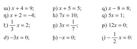
X=5 x=0 x=16
X=-6 x= x=
X=6 x= x=0
X=0 x=0 x=0

X= x=-3 x=0,04
X=0,4 x= x=
X=20 x=12

X=5 x=0 x=16
X=-6 x= x=
X=6 x= x=0
X=0 x=0 x=0

X= x=-3 x=0,04
X=0,4 x= x=
X=20 x=12
Mkhitar Sebastatsi Educational Complex
«Մխիթար Սեբաստացի» կրթահամալիր
«Մխիթար Սեբաստացի» կրթահամալիր Քոլեջ
«Մխիթար Սեբաստացի» Կրթահամալիր : Ավագ դպրոցի 12/4 դասարան
Մխիթար Սեբաստացի կրթահամալիր